全国最新男女比例出炉!四川人口排名全国第5
时间:2021-05-11 14:41:39 来源:四川日报全国人口共141178万人,与2010年相比增加7206万人,增长5.38%。我国人口10年来继续保持低速增长态势。
今天(11日)上午10时,国新办举行新闻发布会,介绍第七次全国人口普查主要数据结果并答记者问。
我国人口达141178万人,四川排第五
国家统计局局长宁吉喆在会上通报,全国人口共141178万人,与2010年的133972万人相比,增加了7206万人,增长5.38%;年平均增长率为0.53%,比2000年到2010年的年平均增长率0.57%下降0.04个百分点。数据表明,我国人口10年来继续保持低速增长态势。
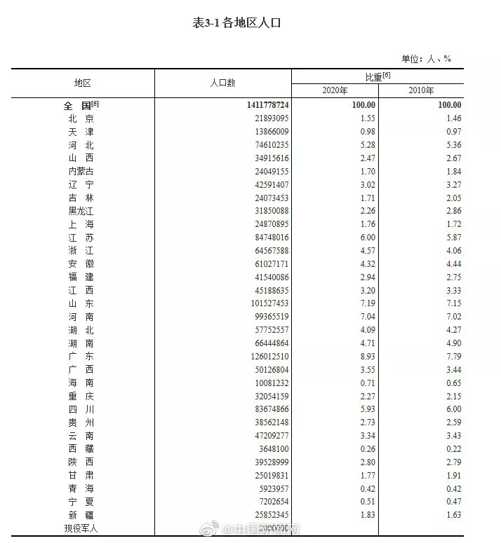
31个省份中,人口超过1亿人的省份有2个,分别为广东(126012510人)和山东(101527453人)。四川(83674866人)总人口排名第五。在5000万人至1亿人之间的省份有9个,在1000万人至5000万人之间的省份有17个,少于1000万人的省份有3个。

我国人口男女比例105.07
男性人口为72334万人,占51.24%;女性人口为68844万人,占48.76%。总人口性别比(以女性为100,男性对女性的比例)为105.07,与2010年基本持平,略有降低。出生人口性别比为111.3,较2010年下降6.8。我国人口的性别结构持续改善。
中国人口平均年龄为38.8岁
中国人口今后会达到峰值,但具体时间还有不确定性,预计在未来一段时间内,我国人口总量会保持在14亿人以上。我国16-59岁劳动年龄人口为8.8亿人,劳动力资源仍然充沛,我国人口平均年龄为38.8岁,总的看依然年富力强。
平均每个家庭户的人口为2.62人
全国共有家庭户49416万户,家庭户人口为129281万人;集体户2853万户,集体户人口为11897万人。平均每个家庭户的人口为2.62人,比2010年的3.10人减少0.48人。
家庭户规模继续缩小,主要是受我国人口流动日趋频繁和住房条件改善年轻人婚后独立居住等因素的影响。
人口向经济发达区域、城市群进一步集聚
东部地区人口占39.93%,中部地区占25.83%,西部地区占27.12%,东北地区占6.98%。与2010年相比,东部地区人口所占比重上升2.15个百分点,中部地区下降0.79个百分点,西部地区上升0.22个百分点,东北地区下降1.20个百分点。人口向经济发达区域、城市群进一步集聚。
我国二孩生育率明显提升,人口老龄化程度进一步加深
0—14岁人口为25338万人,占17.95%;15—59岁人口为89438万人,占63.35%;60岁及以上人口为26402万人,占18.70%(其中,65岁及以上人口为19064万人,占13.50%)。与2010年相比,0—14岁、15—59岁、60岁及以上人口的比重分别上升1.35个百分点、下降6.79个百分点、上升5.44个百分点。
我国少儿人口比重回升,生育政策调整取得了积极成效。同时,人口老龄化程度进一步加深,未来一段时期将持续面临人口长期均衡发展的压力。
全国超2.18亿人具有大学文化程度
具有大学文化程度的人口为21836万人。与2010年相比,每10万人中具有大学文化程度的由8930人上升为15467人,15岁及以上人口的平均受教育年限由9.08年提高至9.91年,文盲率由4.08%下降为2.67%。受教育状况的持续改善反映了10年来我国大力发展高等教育以及扫除青壮年文盲等措施取得了积极成效,人口素质不断提高。
城镇人口比重上升14.21个百分点
居住在城镇的人口为90199万人,占63.89%;居住在乡村的人口为50979万人,占36.11%。与2010年相比,城镇人口增加23642万人,乡村人口减少16436万人,城镇人口比重上升14.21个百分点。随着我国新型工业化、信息化和农业现代化的深入发展和农业转移人口市民化政策落实落地,10年来我国新型城镇化进程稳步推进,城镇化建设取得了历史性成就。
中国人户分离人口近5亿人
人户分离人口为49276万人,其中,市辖区内人户分离人口为11694万人,流动人口为37582万人,其中,跨省流动人口为12484万人。与2010年相比,人户分离人口增长88.52%,市辖区内人户分离人口增长192.66%,流动人口增长69.73%。我国经济社会持续发展,为人口的迁移流动创造了条件,人口流动趋势更加明显,流动人口规模进一步扩大。
民族人口稳步增长
汉族人口为128631万人,占91.11%;各少数民族人口为12547万人,占8.89%。与2010年相比,汉族人口增长4.93%,各少数民族人口增长10.26%,少数民族人口比重上升0.40个百分点。民族人口稳步增长,充分体现了在中国共产党领导下,我国各民族全面发展进步的面貌。
| 编辑: | 向素玉(实习) |
| 校对: | 毛佳莉 |
| 责编: | 程云 |

