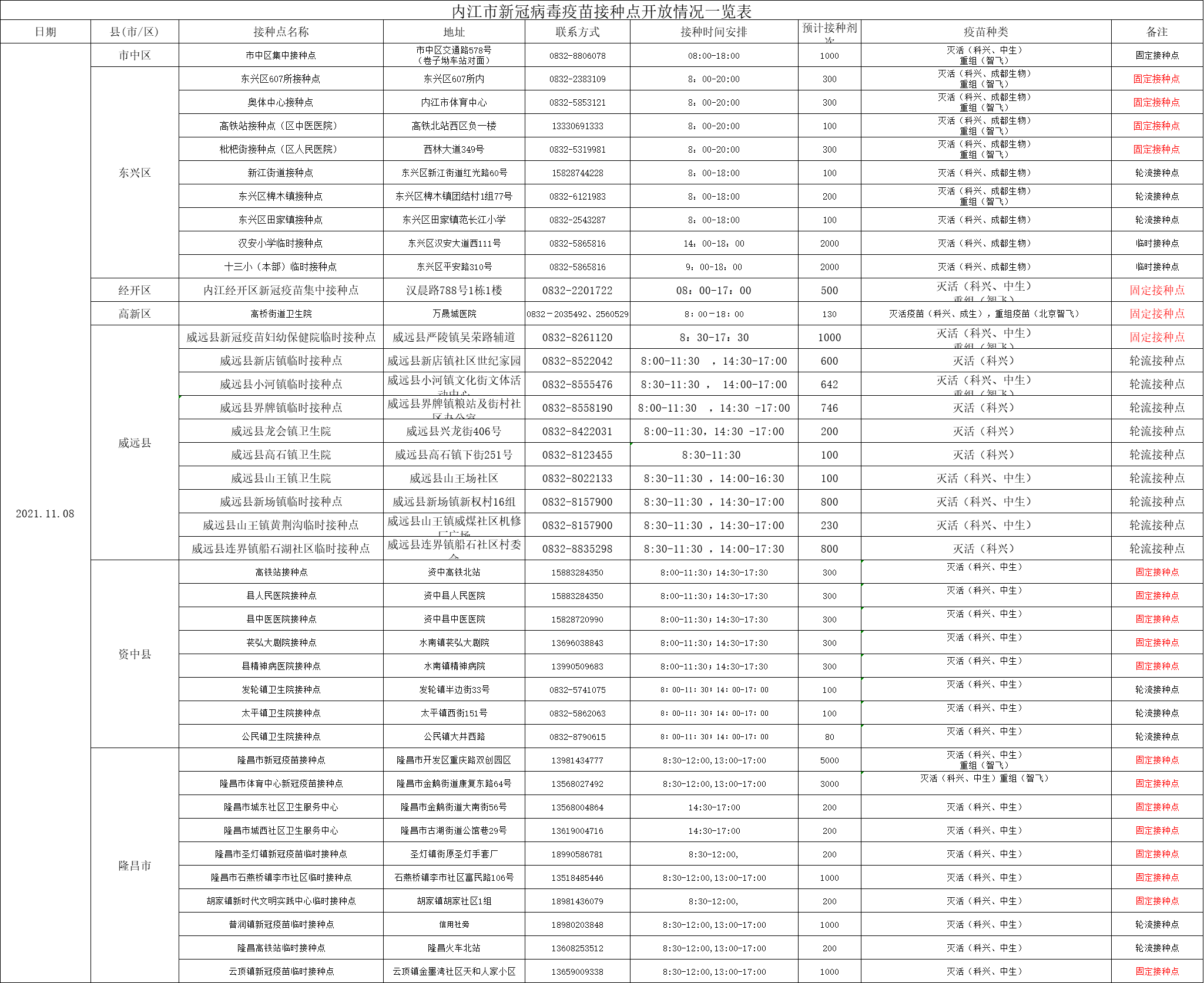
速看!内江11月8日新冠病毒疫苗接种点开放情况来了
时间:2021-11-07 18:02:40 来源:健康内江10月15日起
内江市各县市区
已陆续启动了新冠病毒疫苗
加强针接种工作


温馨提示
不前往涉疫地区。市民朋友要密切关注国内疫情动态,不出境、不出省,尤其是不前往有病例报告的城市。外省旅游、出差归来后,建议主动做一次核酸检测并进行14天自我健康监测,一旦出现发热、干咳等不适症状时,立即就近前往发热门诊就诊。
主动接种新冠疫苗。符合条件的市民应尽快全程接种疫苗和加强免疫。我市已全面启动新冠疫苗加强免疫工作,请已完成新冠疫苗全程接种间隔达6个月的市民,及时就近进行新冠疫苗加强接种,共同筑牢全民免疫屏障。
落实健康生活方式。自觉养成“勤洗手、常通风、少聚集、一米线”等文明健康好习惯,不扎堆、不聚集,保持安全社交距离。出入公共场所时,积极配合测量体温,戴口罩,查验健康码、行程卡等防控措施。
| 编辑: | 李夏娇 |
| 责编: | 刘桂莲 |
| 审核: | 程云 |
评论
新闻推荐

